| RECHERCHE DE PANNES |
|
Symptôme |
Zone suspecte |
REMÈDE |
|
Le moteur ne démarre pas |
Charge batterie faible |
Chargez ou remplacez la batterie |
|
Câbles de batterie mal branchés, corrodés ou usés |
Réparez ou remplacez les câbles |
|
|
Interrupteur de plage du pont arrière à boîte de vitesses (Véhicules à boîte de vitesse automatique uniquement) |
Voir la boîte de vitesses automatique du groupe AT |
|
|
Fusible fondu |
Remplacez le fusible |
|
|
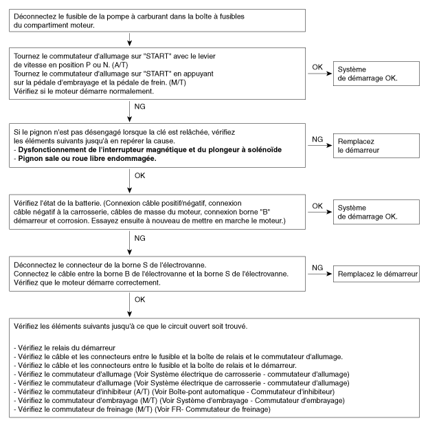
Démarreur défectueux |
Remplacez |
|
|
À interrupteur d′allumage défectueux |
Remplacez |
|
|
Le moteur démarre lentement |
Charge batterie faible |
Chargez ou remplacez la batterie |
|
Câbles de batterie mal branchés, corrodés ou usés |
Réparez ou remplacez les câbles |
|
|
Démarreur défectueux |
Remplacez |
|
|
Le démarreur continue à tourner |
Démarreur défectueux |
Remplacez |
|
INTERRUPTEUR D'ALLUMAGE |
Remplacez |
|
|
Le démarreur tourne mais le moteur ne démarre pas |
Court-circuit dans le câblage |
Réparez ou remplacez le câblage |
|
Dents du pignon ou démarreur cassé(es) |
Remplacez |
|
|
Dents de la couronne cassées |
Remplacez le volant ou le convertisseur de couple |
|

Description et fonctionnement
DEMARREUR SpécificationsSélection d'un Système de Retenue pour Enfants (CRS)
Lorsque vous choisissez un DRE pour votre enfant, toujours:
Assurez-vous CRS possède une étiquette certifiant sa conformité avec les
normes de sécurité en vigueur dans votre pays.
Utilisez un système de retenue approprié à la taille et au poids de
votre enfant. L'étiquette o ...
Système de signal d'arrêt d'urgence Description et fonctionnement
Description
Introduction du système d'alerte rapide de freinage (ESS)
En cas de freinage rapide par le conducteur, la lampe des freins ou les clignotants
clignotent pour avertir le véhicule à l'arrière.
1.
Fonction de base (Clignotement des ...